Перейти к содержанию
Форумы о ремонте и строительстве

Утепляем лоджию.

Оценить эту тему:


Роман

Рекомендуемые сообщения

Не строитель, но недавно был озадачен тем же вопросом. Ламинат на "теплый пол" не лучший вариант, т.к. ламинат является неплохим теплоизолятором, т.е. эфект от теплого пола снизится. На теплый пол лучше плитку. Есть варианты теплого пола не из кабеля, а с использованием матов (Devi) - предназначены специально под ламинат, но, опять же - эффект от матов меньше, чем от кабеля. А на счет отрицательного воздействия на сам ламинат ничего не слышал.

Под ламинат можно и кабель уложить, вопрос только в цене. Зато всегда доступен ремонт кабеля или перенос его в другое место.Да и нагрузка на перекрытие будет меньше.

Уважаемый Sano помогите советом, обшил лоджию пенопластом (50 мм) закрепил мет. профиля, но в некоторых местах профиль идёт вплотную к пенопласту и пенофол не влазит, можно пенофол закрепить между профилями и стыки проклеить алюминиевым скотчем. Порекомендуйте залил стяжку ЦПС, чем заделать мелкие неровности и ямки, можно или нет использовать плиточный клей?Спасибо Вам за вашу помощь!

но в некоторых местах профиль идёт вплотную к пенопласту и пенофол не влазит, можно пенофол закрепить между профилями и стыки проклеить алюминиевым скотчем.

кроме этого остается ещё вариант с эконом. профилем

Порекомендуйте залил стяжку ЦПС, чем заделать мелкие неровности и ямки, можно или нет использовать плиточный клей?

можно и им если под ламинат или паркетную доску , или наливным полом если под линоль ковролин т.к. прочность пола намного выше , если поверхность под плитку то делать ничего не нужно

Подписываемся на тему День за днём, моя работа https://homemasters.ru/...esta-raboty/ и на мой инстарам https://www.instagram.c...gda35remont/

Принимаю заказы на мебель из слэбов

 

Спасибо за ответ. Но профиля уже закрепил, если поклею пенофол между профилем большие будут потери тепла?Sano извините что не в теме, но на нагревательный кабель денег сразу пожалел и теперь думаю положить маты а сверху линоль, или ламинат, подскажите где можно почитать про маты, и технологию укладки их. Спасибо!

  • 3 месяца спустя...
художник

Добрый день. Собираюсь обшить влагостойким гипсокартоном неутепленную лоджию (одинарное остекление на мет. раме). Стены бетонные. Собирать буду на каркасе. Вопросы: 1. не отсыреет ли ГКЛВ в этом случае; 2. нужна ли под него какая либо подложка; 3. можно ли дополнительно утеплить (в моем случае) уличную стенку?

По поводу утепления лоджии - это вообще отдельная песня.

Необходимо придерживаться строго заданной технологии для получения гарантированного результата. Лично я сделал по технологии, рекомендуемой специалистами, кто ТОЛЬКО этим и занимается и запатентовали свой метод. У них есть свой сайт, свой форум, где обсуждаются УЗКО-СПЕЦИАЛИЗИРОВАННЫЕ вопросы по этому поводу. Более того, так как мой ремонт начался именно с утепеления лоджии (точнее я вообще снес все что соединяло лоджию и кухню) я впитал по максимум предоставленную тем ресурсом инфу. Зима на завершении, а у меня все время тепло, даже учитывая что 1\3 обогрева всей квартиры я отключил и ГИПРОЧНЫЕ работы на лоджии не завершил.

На этом форуме я и появился по ссылке именно оттуда, когда у меня начались след. этапы в ремонте и мне дали "наводку" на этот форум.

Поэтому я с чистой совестью возвращаю "долг" и рекомендую всем, кто хочет утеплить/объединить лоджию изучить как следует :

http://www.lodjiya.ru

http://www.lodjiya.ru/forum/

P.S.

1) Для тех использует в качестве обрешетки металлические профиля возможно развитие ситуации как показано на этих фото:

post-19386-1237889853_thumb.jpgpost-19386-1237889873_thumb.jpg

2) При запенивании стыков между пенополистирольными плитами (ПЕНОПЛЭКС, UPS URSA) нельзя пользоваться пеной, содержащей ФТОЛУОЛ - он растворяет пенополистирол со временем, поэтому качественного результата не будет.

художник

Спасибо Оlеjnоk за ссылку, но вопрос остается открытым: можно ли использовать ГКЛ для обшивки стен? В многочисленных темах указанного сайта и сдесь приводятся примеры именно УТЕПЛЕНИЯ (когда стоят стеклопакеты, прорублен проход в комнату и т.д.), металлическая рама с одинарным стеклом, в моем случае, не даст той тепло и влаго-изоляции как пластиковая со стеклопакетами...Спрашивал у знакомых-результата нет: одни говорят-нельзя, влажность и перепад температур убьют ГКЛ, даже влагостойкий; другие-можно, ведь дождь и снег не попадают на лоджию и нет никакого резкого перепада температур (рама сглаживает колебания). Кому верить?

дождь и снег не попадают на лоджию и нет никакого резкого перепада температур (рама сглаживает колебания).

Прямые осадки - да, не попадают. О каких сглаживаемых рамой колебаниях идет речь?Главный вопрос - печка от которой все и вся "пляшут" - это где будет находиться "точка росы" ? Если за пределами лоджии - это ГУД, если внутри, то конденсат, мокрота, гниение, отслаивание и т.п. будут гарантированы. Вопрос только упрется во время - раньше или позже...Я считаю, что ваша метал. рама с одним стеклом - это защита от ветра, снега и дождя, но никак не от ХОЛОДНОЙ ТЕМПЕРАТУРЫ, а значит ТЕПЛЫЙ ФРОНТ и ХОЛОДНЫЙ будут встречаться на вашей лоджии и в таком случае ... готовьте галоши :)
художник

Согласен, что моя рама спасает только от осадков, но вопрос стоит не об утеплении, а о чисто декоративной отделке под дальнейшую покраску. Галоши, я полагаю, надо готовить, если утеплить стены-тогда конденсат неизбежен. Так как, выстоит гипсокартон в моих ХОЛОДНЫХ (ЗИМОЙ) условиях, или нет?

Добрый день. Собираюсь обшить влагостойким гипсокартоном неутепленную лоджию (одинарное остекление на мет. раме). Стены бетонные. Собирать буду на каркасе. Вопросы: 1. не отсыреет ли ГКЛВ в этом случае; 2. нужна ли под него какая либо подложка; 3. можно ли дополнительно утеплить (в моем случае) уличную стенку?

Ответы:1. Отсыреет.2. Не имеет смысла, т. к. в соответствии с п.1 ГКЛВ использовать в Вашем случае не годится.3. Также лишено смысла без проведения комплексного утепления всей лоджии, в т. ч. и замены остекления.

Согласен, что моя рама спасает только от осадков, но вопрос стоит не об утеплении, а о чисто декоративной отделке под дальнейшую покраску. Галоши, я полагаю, надо готовить, если утеплить стены-тогда конденсат неизбежен. Так как, выстоит гипсокартон в моих ХОЛОДНЫХ (ЗИМОЙ) условиях, или нет?

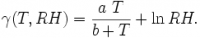
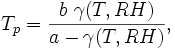
Для декоративной отделки неутеплённой лоджии ГКЛВ не следует (КАРАЧУН ЕМУ ТАМ НАСТАНЕТ НЕИЗБЕЖНО! Только зря материал перепортите и своё драгоценное время и силы.). Это материал для "внутренних работ". Отделку Вашей лоджии к "внутренним работам" отнести нельзя.Бетонные стены под покраску можно оштукатурить и зашпаклевать соответствующими материалами на цементной основе, предназначенными для наружных (фасадных) работ. Краска тоже, разумеется, должна быть "для наружных работ", т. е. влаго- и морозостойкая. Поверхности из бетона перед нанесением штукатурки для лучшей адгезии желательно обработать спец. грунтом типа "БЕТОКОНТАКТ", при необходимости использовать штукатурную сетку. Ну или можно обшить стены и потолок ПВХ-панелями или деревянной "вагонкой". Если использовать дерево, то его надо обработать спец. защитным составом.По поводу условий образования конденсата.Влага конденсируется (выпадает роса) там, где температура будет равна или ниже так называемой "точки росы" воздуха. Точкой росы при данном давлении называется температура, до которой должен охладиться воздух, чтобы содержащийся в нём водяной пар достиг состояния насыщения и начал конденсироваться в росу. Точка росы определяется относительной влажностью воздуха. Чем выше относительная влажность, тем точка росы выше и ближе к фактической температуре воздуха. Чем ниже относительная влажность, тем точка росы ниже фактической температуры. Если относительная влажность составляет 100 %, то точка росы совпадает с фактической температурой. Формула для приблизительного расчёта точки росы в градусах Цельсия:post-3954-1237988127_thumb.pngгдеa = 17.27,b = 237.7 °C,ln — натуральный логарифм,T = температура в градусах Цельсия,RH = относительная влажность в долях (0 < RH < 1.0),Tp = точка росы,post-3954-1237988142_thumb.pngПри проведении утепления принципиально важно, чтобы при любых возможных реальных условиях, не могла происходить конденсация влаги в толще утепляющего "пирога" или на его границе с утепляемой поверхностью. Поэтому исходя из конкретных условий (климат данной местности, материал и толщина имеющихся неутеплённых стен, наличие отопления и др.) определяют материалы, их сочетание и толщины их слоёв необходимые для "правильного" утепления конкретного помещения.
художник

Спасибо всем за советы! Буду использовать вагонку.

  • 4 месяца спустя...
(изменено)

Softer11 всё сделано просто класс!!! :) Только есть вопросы:1. как крепится пеноплекс, к стене (кирпич, бетон), не только чем но и сам процесс;2. как крепится обрешетка к пенофолу (не происходит ли нарушение герметизации), не только чем но и сам процесс. Спасибо большое за ответ! :)

Изменено пользователем Viktor1969

1. Строительными "грибами"
2. Сквозь Пеноплэкс на дюбель и длинный шуруп.

Присоединение лоджии (фотохроника всех работ) : http://photofile.ru/use...k/115359245/

Возникнут уточняющие вопросы - добро пожаловать :)

  • 2 месяца спустя...

Все привет, рябят, чем отличаются теплые окна от нетеплых? у меня новостройка, строю планы на ремонт лоджии, да и всего жилого помещения, окна пвх, такие же как и в комнатах....Так вот, на вскидку, если утеплю по выше изложенной технологии(далее либо гкл, либо рейки), только без теплых полов, не будет и у меня кондесата на лоджии?зы сайт супер, спасибо за исчерпывающую инфу

Всем добрый день, утеплил лоджию пенопластом, пенофолом и ГКЛВ на металлическом каркасе. Было на улице сыро и на самом профиле образовывался конденсат, были мокрые углы возле подоконника. Металл крепил к профилю через пенофол. Источника тепла нет, только батарея на кухне. Вопрос если поставлю обогреватель на лоджию перестанет-ли появляться конденсат или его станет больше? Может в стык гкл и окна поставить пластиковый уголок чтоб небыло контакта?

  • 4 месяца спустя...

Здравствуйте!

Занялся изучением вопросов утепления лоджии. Не могли бы пояснить, зачем нужна кладка парапета? Оконщики готовы установить на существующий парапет

Заранее благодарен!

post-33037-1268218495_thumb.jpg

post-33037-1268218500_thumb.jpg

Здравствуйте! Занялся изучением вопросов утепления лоджии. Не могли бы пояснить, зачем нужна кладка парапета? Оконщики готовы установить на существующий парапетЗаранее благодарен!

Просто у кого-то этого парапета нету вовсе, у кого-то на него просто нельзя ничего установить. Если уверены в его прочности - ставьте.

Приходил замерщик, осмотрел парапет, сказал, что на него поставят. Да и по всему подъезду окна вровень с существующим парапетом на всех лоджиях стоят... Не повлияет отсутствие дополнительного парапета на утепление? Проблема на фото - стык моей лоджии с лоджией соседа под углом

post-33037-1268220008_thumb.jpg

Для публикации сообщений создайте учётную запись или авторизуйтесь

Вы должны быть зарегистрированным пользователем, чтобы оставить комментарий

Создать учетную запись

Зарегистрируйтесь в нашем сообществе.

Зарегистрироваться

Войти

Уже есть аккаунт? Войти в систему.

Войти

Или войти с помощью одного из сервисов



  • Наши рекомендации

    • Люк для кошек своими руками
      Разумеется давно придуманы и продаются специальные лючки для кошек, которые можно врезать в дверь, но мы ведь не ищем легких путей . Да и по зоомагазинам я не хожу, а "гугление" показало, что такие люки для кошек стоят относительно не дешево. В то же время под рукой были два "копеечных" сантехнических пластиковых лючка для ГКЛ. Все что оставалось, так это обломать фиксаторы крышек, что бы они открывались в обе стороны, ровно выпилить отверстие в двери, да вклеить симметрично эти лючки.

      То, что получилось видно на фото. Разумеется это не для тех, у кого "дизайнерский ремонт", но для обыкновенной квартиры вполне подходит. Недостатков не замечено, животных и людей всё устраивает .


      Реакцию форумчан на этот люк можно узнать в этой теме https://homemasters.ru/...me/?p=330637

        • Ого
      • 6 ответов
    • Кажись всё или строительный пылесос с тройной мультициклонной ступенью очистки
      Кажись всё или строительный пылесос с тройной мультициклонной ступенью очистки

        • Нравится
      • 16 ответов
    • Вторая жизнь дивана: искусство ремонта мягкой мебели своими руками
      В эпоху беспрерывного потребления и стремления к новизне, ремонт старой мягкой мебели своими руками приобретает не просто практическое, но и глубоко философское значение. Это действие как знак уважения к труду мастеров, которые вложили свое мастерство в создание диванов, кресел и пуфов, и как воплощение идеи устойчивого потребления. С каждым возвращенным к жизни предметом мебели, мы не только сохраняем историю и уникальность каждого изделия, но и противостоим бездумному обновлению интерьера за счет экологии и рационального использования ресурсов.

        • Нравится
      • 0 ответов
    • Подходы к ремонту старых домов в России
      В России сотни тысяч старых домов, многие из которых являются не только свидетельством исторического наследия, но и отражением уникальной культуры и традиций страны. Эти дома, будь то деревянные избы или старинные каменные постройки, сохраняют в себе дух времени и рассказывают историю поколений.

      • 0 ответов
    • Дома из сруба: идеальное сочетание уюта и прочности.
      Строительство собственного дома является важной вехой в жизни любого человека, поскольку оно знаменует собой важное событие. Выбор строительных материалов имеет огромное значение для создания теплого и функционального жилища. На протяжении всей древней истории древесина была распространенным материалом для строительства домов, что отразилось на различных культурах мира.

      • 0 ответов
    • Аккумуляторные пилы  SCW и  SCM  22-A
      После того как провёл тесты, приступил к самому главному. Поменять диски местами, и проверить, как инструмент на это отреагирует, ведь они внешнее и походу внутренне практически одинаковые, пила по дереву конечно более навороченее, есть настройки угла наклона и можно на шину посадить через адаптер.

      • 4 ответа
    • Как построить теплый дом, не тратя лишних денег
      Строительство гостевого дома решил выделить в отдельную тему, так будет меньше путаницы.


        • Спасибо
        • Нравится
      • 257 ответов
    • Газовые котлы: эффективное, экономичное и экологичное решение для отопления вашего дома
      В современном мире, где комфорт и устойчивость стали ключевыми аспектами повседневной жизни, выбор правильного источника отопления дома становится особенно актуальным. Газовые котлы, сочетая в себе преимущества эффективности, экономичности и экологичности, представляют собой одно из наиболее популярных решений для обеспечения комфортной температуры в жилых и коммерческих помещениях.

      • 0 ответов
×
×
  • Создать...

Важная информация

Мы разместили cookie-файлы на ваше устройство, чтобы помочь сделать этот сайт лучше. Вы можете изменить свои настройки cookie-файлов, или продолжить без изменения настроек.